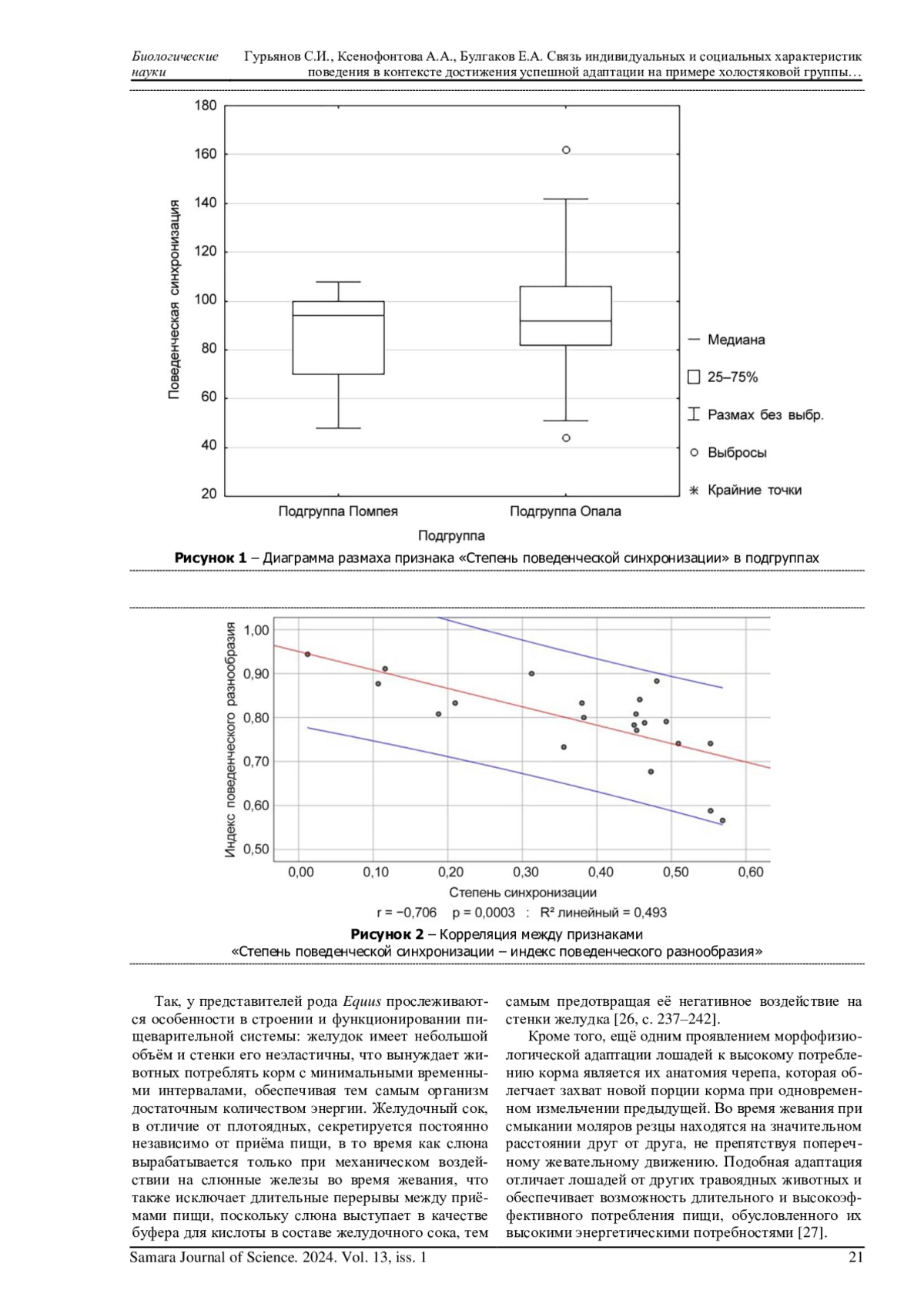
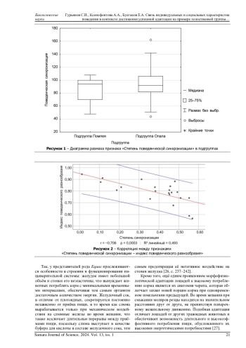
В статье рассматривается взаимосвязь степени поведенческой синхронизации и индекса разнообразия поведения с морфофункциональными особенностями лошади Пржевальского в контексте их адаптационного значения. Отмечено, что обозначенные характеристики поведения определяют способность животных к формированию сплочённых социальных групп, что лежит в основе оборонительного поведения некоторых видов социальных животных, в особенности копытных открытых пространств, а также их противодействия различным факторам внешней среды (например, воздействие насекомых, температурных эффектов и др.). Показатель индекса поведенческого разнообразия отражает стремление животного к проявлению мотивированного поведения, т. е. удовлетворению доминирующей потребности с позиции теории функциональных систем. Учёт данных показателей имеет значимость для успешного проведения программ реинтродукции различных видов животных. В данном исследовании на примере холостяковой группы полувольной популяции изучаемого вида, обитающей на территории участка «Предуральская степь» ФГБУ «Заповедники Оренбуржья», благодаря комплексу этологических наблюдений проводилась оценка адаптации лошадей к степным экосистемам Южного Предуралья. В исследуемом сообществе зафиксирован высокий уровень поведенческой синхронизации и низкие значения индекса разнообразия поведения, объясняемые морфофизиологической адаптацией вида к длительному периоду потребления корма. Отмечена связь между указанными характеристиками поведения и долей разных форм поведения у изучаемой группы диких лошадей, свидетельствующая об эффективной интеграции животных в естественную для вида экологическую нишу.
Идентификаторы и классификаторы
- SCI
- Животноводство
Степь как природный комплекс сформировалась под трофическим и механическим воздействием диких копытных [1–3; 4, с. 149]. Выступая в роли одного из трофических звеньев степной биоты, они способствовали формированию и сохранению гумусового горизонта, почв, растительного покрова, оказывая тем самым многофакторное влияние на различные компоненты степной экосистемы [2–4; 5, с. 9].
Список литературы
1. Опарин М.Л., Опарина О.С., Цветкова А.А. Выпас как фактор трансформации наземных экосистем семиаридных регионов // Поволжский экологический журнал. 2004. № 2. С. 183-199. EDN: HSPMOX
2. Bulgakova M.A., Pyatina E.V. The role of ungulates in soil zoocoenosis development of the steppe zone of the Urals // Nature Conservation Research. 2019. Vol. 4 (suppl. 2). P. 94-97. DOI: 10.24189/ncr.2019.037 EDN: CEAHUW
3. Абатуров Б.Д., Молчанова Л.В. Естественные степные экосистемы: каковы они на самом деле // Экосистемы: экология и динамика. 2020. Т. 4, № 2. С. 5-25. DOI: 10.24411/2542-2006-2020-10057 EDN: PZWILT
4. Казьмин В.Д. Трофические зональные адаптации копытных России. М.: Геос, 2021. 241 с. DOI: 10.34756/geos.2021.16.37868 EDN: UEAEON
5. Климов В.В. Лошадь Пржевальского: последняя дикая лошадь на планете. Изд. 2-е. М.: URSS, 2018. 320 с.
6. Тишков А.А., Белоновская Е.А., Титова С.В., Царевская Н.Г. Степи России в мировой сводке по грассландам Земли // Степи Северной Евразии: мат-лы IX международного симпозиума / под науч. ред. А.А. Чибилёва. Оренбург: ОГУ, 2021. С. 799-806. DOI: 10.24412/cl-36359-2021-799-806 EDN: KQMMGE
7. Тишков А.А. Биосферные функции и экосистемные услуги ландшафтов степной зоны России // Аридные экосистемы. 2010. Т. 16, № 41-1. С. 5-15. EDN: KZLMKB
8. Чибилёв А.А. Перспективы развития природно-заповедного фонда в степной зоне Северной Евразии: новые формы заповедных резерватов // Аридные экосистемы. 2004. Т. 10, № 21. С. 9-15. EDN: LLWLAJ
9. Macias-Fauria M., Jepson P., Zimov N., Malhi Y. Pleistocene Arctic megafaunal ecological engineering as a natural climate solution? // Philosophical Transactions of the Royal Society B: Biological Sciences. 2020. Vol. 375, № 1794. DOI: 10.1098/rstb.2019.0122 EDN: DGFCYT
10. Bakirova R.T., Zharkikh T.L., Bulgakov E.A. The initial stage of the development of the semi-free population of the Przewalski’s horse in Orenburg state nature reserve (Russia) // Nature Conservation Research. Заповедная наука. 2019. Vol. 4, № S2. P. 49-56. DOI: 10.24189/ncr.2019.043 EDN: BXQAFU
11. Berger-Tal O., Saltz D.Introduction: the whys and hows of conservation behavior // Conservation behavior. Applying behavioral Ecology to Wildlife conservation and management. Cambridge: Cambridge University Press, 2016. P. 3-35. DOI: 10.1017/cbo9781139627078.003
12. Snijders L., Blumstein D.T., Stanley C.R., Franks D.W. Animal social network theory can help wildlife conservation // Trends in Ecology & Evolution. 2017. Vol. 32, iss. 8. P. 567-577. DOI: 10.1016/j.tree.2017.05.005
13. Bernatkova A., Oyunsaikhan G., Simek J., Komarkova M., Ceacero F. Social networks of reintroduced Przewalski’s horses in the Great Gobi B Strictly Protected Area (Mongolia) // Current Zoology. 2023. Vol. 70, iss. 2. P. 182-194. DOI: 10.1093/cz/zoad011 EDN: RCYSKR
14. Souris A.C., Kaczensky P., Julliard R., Walzer C. Time budget-, behavioral synchrony-and body score development of a newly released Przewalski’s horse group Equus ferus przewalskii, in the Great Gobi B strictly protected area in SW Mongolia // Applied Animal Behaviour Science. 2007. Vol. 107, iss. 3-4. P. 307-321. DOI: 10.1016/j.applanim.2006.09.023 EDN: LXPWRB
15. Чибилев А.А. Заповедник “Оренбургский”: история создания и природное разнообразие. Екатеринбург: Институт степи УрО РАН; Оренбургское отделение Русского географического общества; ООО “УИПЦ”, 2014. 139 с. EDN: VNVCAH
16. Смелянский И.Э. Российский Степной проект завершён: что сделано // Степной бюллетень. 2017. № 49. С. 4-13.
17. Kerekes V., Sándor I., Nagy D., Ozogány K., Göczi L., Ibler B., Széles L., Barta Z. Trends in demography, genetics, and social structure of Przewalski’s horses in the Hortobagy National Park, Hungary over the last 22 years // Global Ecology and Conservation. 2021. Vol. 25. DOI: 10.1016/j.gecco.2020.e01407 EDN: BWZXVE
18. Altmann J. Observational study of behavior: sampling methods // Behaviour. 1974. Vol. 49, № 3-4. P. 227-266.
19. Попов С.В., Ильченко О.Г. Методические рекомендации по этологическим наблюдениям за млекопитающими в неволе // Руководство по научным исследованиям в зоопарках / ред. С.В. Попов. М.: Московский зоопарк, 2008. С. 3-66.
20. Иванов А.А., Ксенофонтова А.А., Войнова О.А. Практикум по этологии с основами зоопсихологии: учеб. пособие. СПб.: Лань, 2022. 368 с. EDN: WYZUXO
21. Miller L.J., Vicino G.A., Sheftel J., Lauderdale L.K. Behavioral diversity as a potential indicator of positive animal welfare // Animals. 2020. Vol. 10, № 7. DOI: 10.3390/ani10071211 EDN: JVYPVQ
22. Cronin K.A., Ross S.R. Technical contribution: A cautionary note on the use of behavioural diversity (H-Index) in animal welfare science // Animal Welfare. 2019. Vol. 28, № 2. P. 157-164. DOI: 10.7120/09627286.28.2.157
23. Duranton C., Gaunet F. Behavioural synchronization from an ethological perspective: Overview of its adaptive value // Adaptive Behavior. 2016. Vol. 24, iss. 3. P. 181-191. DOI: 10.1177/1059712316644966
24. Maeda T., Sueur S., Hirata S., Yamamoto S. Behavioural synchronization in a multilevel society of feral horses // PLoS One. 2021. Vol. 16, № 10. DOI: 10.1371/journal.pone.0258944 EDN: ZCFUGG
25. Boyd L., Bandi N. Reintroduction of takhi, Equus ferus przewalskii, to Hustai National Park, Mongolia: time budget and synchrony of activity pre-and post-release // Applied Animal Behaviour Science. 2002. Vol. 78, iss. 2-4. P. 87-102. DOI: 10.1016/s0168-1591(02)00088-6
26. Иванов А.А., Войнова О.А., Ксенофонтов Д.А., Полякова Е.П., Скоблин В.Г., Маннапов А.Г., Метревели Т.В. Сравнительная физиология животных: учебник. 2-е изд., стер. СПб.: Лань, 2022. 416 с. EDN: IZQMAC
27. Clauss M., Codron D., Hummel J. Equid nutritional physiology and behavior: an evolutionary perspective // Journal of Equine Veterinary Science. 2023. Vol. 124. DOI: 10.1016/j.jevs.2023.104265 EDN: AJIZQQ
28. Иванов А.А. Этология с основами зоопсихологии: учеб. пособие. 2-е изд., стер. СПб.: Лань, 2013. 624 с. EDN: UGRLIH
29. Auer U., Kelemen Z., Engl V., Jenner F. Activity time budgets - a potential tool to monitor equine welfare? // Animals. 2021. Vol. 11, № 3. DOI: 10.3390/ani11030850 EDN: OZZNZA
30. Kaczensky P., Burnik Šturm M., Sablin M.V., Voight C.C., Smith S., Ganbaatar O., Balint B., Walzer C., Spasskaya N.N. Stable isotopes reveal diet shift from pre-extinction to reintroduced Przewalski’s horses // Scientific Reports. 2017. Vol. 7, № 1. DOI: 10.1038/s41598-017-05329-6 EDN: XNSEVR
31. Fedorov N.I., Mikhailenko O.I., Zharkikh T.L., Bakirova R.T. Mapping of vegetation with the geoinformation system and determining of carrying capacity of the pre-urals steppe area for a newly establishing population of the Przewalski horse Equus ferus przewalskii at the Orenburg State Nature Reserve // IOP Conference Series: Earth and Environmental Science. Vol. 107. 2018. № 1. DOI: 10.1088/1755-1315/107/1/012100 EDN: XXNOLR
Выпуск
Другие статьи выпуска
В статье рассматриваются основные этапы научной и педагогической деятельности одного из учеников великого русского физика А. Г. Столетова - профессора Бориса Вячеславовича Станкевича (1860-1924), в течение своей многолетней педагогической карьеры преподававшего в трех Императорских университетах России. Сообщается ряд малоизвестных фактов его биографии. Кратко описывается научно-исследовательская работа Б. В. Станкевича в Императорском Варшавском университете с указанием подготовленных им основных научных трудов. Дается его характеристика как талантливого физика-теоретика и рассказывается о его научной работе в областях геофизики и наблюдательной астрономии. Более подробно рассматривается педагогическая деятельность Б. В. Станкевича в трех Императорских университетах - Варшавском, Новороссийском и Московском. Особое внимание уделяется его службе в Московском университете в 1911-1917 гг., поскольку до настоящего момента этот вопрос мало освещен в историко-педагогических исследованиях. Изучается состояние физического образования в Московском университете в указанные годы, в том числе структура читавшегося тогда лекционного курса опытной физики, кадровое обеспечение учебного процесса, общая обстановка на кафедре физики университета. Дается оценка вклада Б. В. Станкевича в развитие преподавания физики в Императорском Московском университете в кризисный предреволюционный период.
Перед всеми предприятиями и вузами страны стоит одна задача - обеспечение кадрами для развития отраслей промышленности, способными развивать и внедрять инновационные технологии и идеи в реальный сектор экономики для обеспечения и повышения конкурентоспособности отечественных предприятий как на внутреннем, так и на внешних рынках. Подготовкой таких специалистов занимаются, как правило, технические вузы страны. Степень подготовки обучающихся к дальнейшей учебе по освоению программы инновационной направленности и формированию компетенций по решению профессиональных задач определяется через систему контроля остаточных знаний студентов. В данной статье представлены результаты анкетирования студентов по оценке их индивидуальной подготовки и анализ взаимосвязи этих результатов с итогами тестирования, проведенного на площадке Единого портала интернет-тестирования в сфере образования. Проведенные исследования показали, что для получения удовлетворительного результата интернет-тестирования необходимо решать вопрос, как добиться большей эффективности занятий при их ограниченном количестве, и что одновременно необходим дифференцированный подход при формировании тестовых испытаний по базовым дисциплинам для различных направлений специальности.
Статья посвящена проблеме определения теоретических оснований деятельности преподавателя вуза по приобщению студентов к нравственным ценностям, в качестве которых (оснований) выступают научные подходы к ее осуществлению. Обосновывается, что научный подход к организации деятельности преподавателя вуза по приобщению студентов к нравственным ценностям представляет собой совокупность методов, способов, средств, практических инструментов проектирования такой деятельности, обуславливая ее стратегию. Предлагаются критерии отбора нравственных ценностей, к которым приобщаются студенты - будущие специалисты технического профиля, в качестве которых (критериев) выступают виды отношений инженера: отношение к технике, отношение к коллегам, отношение к обществу. Выделяются этапы приобщения студентов к нравственным ценностям: 1) понимание, 2) интериоризация, 3) экстериоризация, в контексте которых выстраивается логика приобщения студентов к ценностям. Дается характеристика этапов понимания, интериоризации и экстериоризации и раскрывается их роль в отборе научных подходов. Обосновывается выбор герменевтического, аксиологического и контекстного подходов к организации деятельности преподавателя по приобщению студентов к нравственным ценностям и раскрывается назначение данных подходов в приобщении студентов технического вуза к нравственным ценностям.
В статье раскрывается проблема воспитания студенческой молодежи, готовой к осуществлению здорового образа жизни. Обосновывается, что готовность студентов медицинского вуза к ведению здорового образа жизни является личностным образованием, обладающим структурой и включающим когнитивный, аксиологический, эмоционально-волевой, деятельностный компоненты. Раскрывается содержание компонентов готовности студентов медицинского вуза к ведению здорового образа жизни: знание о человеке, о здоровье, о здоровом образе жизни и его составляющих (когнитивный компонент); ценности «здоровье», «здоровый образ жизни», «человек», «жизнь» и др. (аксиологический компонент); позитивные эмоции: «радость», «воодушевление», «умиротворение» и др. и волевые качества: «целеустремленность», «настойчивость», «инициативность» и др. (эмоционально-волевой компонент); действия и поступки студента по ведению здорового образа жизни: регулярная физическая активность, соблюдение правил личной гигиены и режима дня и др. (деятельностный компонент). Обосновывается, что педагогические условия формирования готовности студентов медицинского вуза к ведению здорового образа жизни представляют собой систему мер педагогического воздействия, направленных на освоение студентами знаний, приобщение к ценностям, развитие их эмоционально-волевой сферы, ориентацию на совершение действий и поступков, образующих (знания, ценности и др.) содержание соответствующих компонентов готовности, реализуемую (система мер) с опорой на возможности образовательной среды медицинского вуза, обеспечивающие здоровый образ жизни студентов. Определяются педагогические условия, реализация которых обеспечивает эффективное формирование готовности студентов медицинского вуза к ведению здорового образа жизни.
В представленной работе приводятся данные об основных тенденциях образовательного усвоения современной экологической науки, роли ее культурного компонента в подготовке будущих специалистов естественно-географического факультета Самарского государственного социально-педагогического университета. Они позволяют констатировать, что в последние годы экологическая подготовка студентов стала носить в основном более полидисциплинарный характер. В ней диалектически и гармонично сосуществуют основные положения универсальной теории систем, философские, эволюционные мировоззренческие идеи, цифровые технологии, квантовая физика, теория и методика познавательной деятельности и другие неотъемлемые компоненты современного образования. Можно уверенно утверждать, что современная экология все в большей степени стала использовать в своем развитии комплексный системный синергетический подход, что определило повышение роли в наблюдаемой интеграции, прежде всего, ее образовательных и методических педагогических компонентов. Можно также констатировать значительное снижение художественного, театрального компонента педагогики. В результате эта дисциплина все в большей степени стала использовать логику, методологию и методы других образовательных наук, что привело к широкому распространению в ее теории и методике компетентностного подхода. Данный феномен впервые появился менее 100 лет назад и к настоящему времени стал ведущим как в международной, так и в отечественной науке. Целью настоящей работы стала достоверная оценка эффективности использования комплекса разработанных образовательных мероприятий в решении основных задач формирования экологической культуры студентов. Использование компетентностного подхода позволило осуществить высокоэффективную оценку результатов образовательной деятельности, в том числе произвести анализ сложных для понимания в условиях многочисленных противоречий современной цивилизации понятий и категорий экологической культуры каждой отдельной личности и социума в целом.
В статье проводится анализ реализации преподавателями Казанского инновационного университета им. В. Г. Тимирясова методических условий обучения иностранных студентов русскому языку как иностранному, оценивается эффективность реализации этих условий в аспекте достижения обучаемыми разных уровней владения русским языком. Обосновываются методические рекомендации ведущих специалистов в области РКИ по максимально допустимому количеству обучающихся в группе - 8 человек. Рассматривается требование, чтобы занятия в группе велись двумя преподавателями одновременно (в расписании на неделю - работают оба преподавателя в соотношении 50%/50%. Это помогает преодолеть эффект «привыкания» иностранного обучающегося к тембру голоса, темпу речи и фонетическим особенностям одного носителя русского языка. Каждый преподаватель активизирует на каждом занятии все виды речевой деятельности: говорение, письмо, аудирование, чтение и изучение лексики и грамматики. Использование при обучении иностранных студентов различных неучебных форм совершенствования языковых навыков позволяет студентам активно тренировать навыки говорения и аудирования, расширять кругозор за счет знакомства с окружающей инокультурной действительностью вне рамок учебных занятий. Принципиально важным методическим моментом является «перекомплектование» учебных групп после прохождения иностранными студентами тестирования на определенный уровень усвоения русского языка в зависимости от продемонстрированных обучающимися результатов. Важным условием обеспечения эффективности обучения РКИ является взаимодействие с родителями обучающихся. Казанский инновационный университет им. В. Г. Тимирясова при организации обучения иностранных граждан русскому языку как иностранному в дистанционном формате делает акцент в этом процессе на обеспечении «живой» коммуникации с преподавателем.
В статье представлены результаты анализа зарубежных источников, содержащих концепции универсальных компетенций будущих и действующих педагогов и модели оценки этих компетенций, а также - сравнительных исследований, которые могут быть использованы при совершенствовании отечественной теории и практики формирования и оценки этих ресурсов деятельности учителей. Выявлены две основные концептуализации универсальных компетенций в высшем образовании (аналитическая и холистическая), определена специфика оценки универсальных компетенций в рамках этих подходов, показаны их достоинства и ограничения в процессе подготовки будущих учителей. Исследования по оценке универсальных компетенций при подготовке педагогов сосредоточены, главным образом, на когнитивных компетентностях, таких как решение проблем, вербальное, количественное и аналитическое рассуждение, критическое мышление. Дальнейшие исследования, как считают зарубежные специалисты, целесообразно посвятить моделированию академически приобретаемых универсальных компетенций и компетенций, специфичных для предметной области. В настоящее время в качестве наиболее актуального рассматривается подход к формированию и оцениванию универсальных компетенций будущих и действующих педагогов, возникший на стыке аналитической и холистической концепций, предполагающий применение на разных этапах подготовки двух наборов: стандартных аспектов универсальных компетенций и предметно-специфических ситуаций. Формирование и проверка сформированности компетенций осуществляется в рамках заданных способов деятельности и в заданных ситуациях.
В настоящее время активизировался поиск новых возможностей повышения профессионального уровня педагога и создания условий для его профессионального роста. Профессиональный рост учителя подразумевает качественное преобразование профессионально важных личностных свойств и способностей, профессиональных знаний и умений в рамках собственной профессиональной деятельности. Профессиональная деятельность современных педагогов развивается в контексте неопределенности, новизны, неоднозначности. Ситуации постоянных изменений актуализируют ценностно-смысловой и эмоциональный аспекты профессионального развития педагогов. Вышесказанное обусловливает необходимость развития у будущих педагогов эмоциональной культуры как составляющей профессиональной культуры. В связи с этим проблема нашего исследования была сформулирована следующим образом: как будет обеспечено развитие эмоциональной культуры будущих педагогов в образовательном процессе вуза? Отсюда цель исследования заключалась в разработке и реализации структурно-содержательной модели развития эмоциональной куль туры будущих педагогов. Для проверки гипотезы о важности осмысления эмоциональной культуры как ресурса профессионального роста и необходимости моделирования процесса ее развития в вузе были использованы следующие методы: теоретические (анализ научной литературы по проблеме развития эмоциональной культуры будущих педагогов; изучение и обобщение опыта развития эмоциональной культуры в высшей школе), эмпирические (наблюдение, опрос, педагогический эксперимент) и методы математической обработки полученных данных. Эмпирическое исследование осуществлялось на базе Балтийского федерального университета им. И. Канта. Оно включало в себя апробацию разработанной структурно-содержательной модели и последующую диагностику сформированности у студентов – будущих педагогов аксиологического, когнитивного, конативного, волевого и рефлексивного компонентов эмоциональной культуры. Результаты исследования могут быть использованы в системе высшего образования при разработке и реализации программ подготовки специалистов в сфере образования, а также в системе повышения квалификации педагогических работников. В перспективе целесообразно провести исследование по изучению психологической и методической готовности преподавателей вуза к применению технологии развития эмоциональной культуры будущих педагогов.
В статье рассматриваются создание и механизмы апробации Центра по историческому просвещению в системе основного образования на площадке образовательной организации. В качестве стратегических задач создания Центра стоит формирование ресурсного пространства для сохранения исторической памяти и развитие просветительской деятельности обучающихся. Особенностями формирования Центра выделены: организация внеурочной деятельности и разработка дополнительных общеобразовательных программ, подготовка образовательных событий заданной тематики, апробация системы культурно-массовых мероприятий. Отличительной чертой Центра является его позиционирование как части экосистемы образовательной организации. Представлена концептуальная схема структуры Центра и его функциональных частей. Представленная модель может быть использована в качестве теоретико-методологической основы для проектирования образовательных событий, а также для разработки моделей центров исторического просвещения. Материалы позволяют в дальнейшем оценивать выбор путей духовно-нравственного развития обучающихся через реализацию функциональных результатов обучения, а также посредством продуктивных и практико-ориентированных форм обучения. Отдельным направлением Центра можно считать вовлечение в экосистему образовательной организации социальных партнеров и медиасреды для расширения просветительских задач.
В статье рассматривается влияние изучения дисциплины «Основы проектной деятельности» на развитие проектных компетенций у студентов четвертого курса бакалавриата, обучающихся по направлению 18.03.01 Химическая технология в Казанском национальном исследовательском технологическом университете. Исследование проводилось на кафедре Инноватики в химической технологии и заключалось в анкетном обследовании студентов четвертого курса. Проведенное анкетное обследование показало, что в результате изучения данной дисциплины процент теоретических знаний в области проекта и проектной деятельности возрастает, происходит развитие практических навыков по решению конкретных проектных задач и кейсов, студент становится способным принимать правильное решение при разработке проекта. Помимо этого, проанализированы мягкие компетенции студента и выявлены наиболее востребованные из них при работе в проекте. Установлено, что студенты готовы заниматься проектной деятельностью в любом секторе экономики, готовы примерять на себя проектные роли в команде, при этом не испытывая страха или неуверенности в себе. Однако существует ряд барьеров на пути к проекту, предложена система мотивации студентов к развитию проектных компетенций и устранению выявленных барьеров.
В статье рассматривается эффективность изучения имен собственных при обучении профессиональному иностранному языку English for Specific Purposes (ESP), ориентированному на профессиональную подготовку аграриев разных профилей. В современных рабочих программах аграрных университетов практически не уделяется внимание изучению имени собственного, которое занимает существенное место в составе лексики любого языка, отражая важные аспекты развития истории и культуры. Формирование ономастики как специфической отрасли языкознания, достижения региональной ономастики определяют актуальный для преподавателей иностранного языка аграрного университета источник информации. Изучение памятников письменности и культуры, данных этимологических словарей, краеведческой литературы, исследование групп зоонимов, топонимов и антропонимов вызывает необходимость разработки и применения новых методических приёмов и технологий. Все вышесказанное обусловливает актуальность темы данной статьи и определяет её цели: рассмотреть возможности использования собственных имён при изучении иностранного языка в профессиональной деятельности, представить эффективные методические приёмы, способствующие развитию профессиональных компетенций. При подготовке статьи применены следующие методы научного анализа и обобщения: описательный, методики этимологического анализа, а также элементы компаративного и типологического анализа.
В статье выявляется необходимость подготовки курсанта - будущего сотрудника УИС, которому присуща этическая ответственность как системное личностное образование, обладающее значением ценности как совокупности отношений будущего сотрудника УИС к служебной деятельности, к вовлеченным в сферу этой деятельности людям, к себе как к субъекту такой деятельности, реализуемое (системное личностное образование) в деятельности сотрудника УИС через совокупность личностных качеств, определяющих осуществление сотрудником УИС морального выбора в процессе профессиональной деятельности и образующих содержание этической ответственности как личностного качества. Предлагается определение понятия «этическая ответственность курсанта ведомственного вуза ФСИН России - будущего сотрудника УИС» и его содержательное наполнение (ценности, отношения, личностные качества). Обосновывается, что содержание процесса формирования этической ответственности курсантов базируется на научных представлениях о профессиональной этике сотрудника УИС, об этическом смысле предъявляемых к нему требований, конкретизируемых в ценностях и личностных качествах, характеризующих этическую ответственность курсантов. Аргументируется, что реализация данного содержания осуществляется через вычленение в материале учебных дисциплин и внеаудиторной воспитательной работы ценностей, определяющих отношение курсанта к служебной деятельности, к людям в нее вовлеченным и к самому себе как ее субъекту, приобщение курсанта к этим ценностям и развитие у него личностных качеств, через которые осуществляется внешнее выражение названных отношений. Приводятся примеры реализации содержания процесса формирования этической ответственности курсантов: занятия по учебным дисциплинам и мероприятия в рамках внеаудиторной воспитательной работы, на которых идет приобщение курсантов к ценностям и развитие качеств, реализуемых затем в рамках производственной практики.
Российская система образования постоянно претерпевает обновление, естественное в процессе непрерывного развития науки, технологий и общества. В связи с этим возникает очевидная необходимость непрерывного профессионального образования преподавателей вузов, которые потом, в свою очередь, разрабатывают инновационный контент и вносят изменения в процесс обучения студентов всех направлений подготовки. Важной целью каждой образовательной организации является поддержание на должном уровне и постоянное непрерывное повышение качества образования. Поэтому результатом освоения преподавателем программы курсов повышения квалификации должно стать совершенствование профессиональных компетенций, которые как раз и необходимы для повышения качества преподавания. На пути достижения этой цели возникает ряд проблем, решение которых требует особого внимания со стороны как руководства университета, так и каждого преподавателя. При этом основным аспектом является целесообразное грамотное выстраивание общих образовательных стратегий и индивидуальных траекторий повышения квалификации для каждого преподавателя в зависимости от характера профессиональной деятельности. В статье представлены анализ и сравнительная характеристика индивидуальных образовательных траекторий повышения квалификации преподавателей технического и педагогического университетов на примере Поволжского государственного университета телекоммуникаций и информатики и Самарского государственного социально-педагогического университета.
Статья посвящена вопросам места и значения документоведческой компетенции в профессиональной подготовке филологов. Эффективность развития государства во многом определяется качеством подготовки квалифицированных кадров, умеющих решать различные профессиональные задачи, одной из которых является работа с документами. Тенденция к усложнению характера деятельности современного специалиста-филолога ставит новые задачи перед системой высшего образования. Поле профессиональной деятельности филолога можно определить как совокупность разнородных функций из собственно филологической сферы и областей, смежных с нею. Авторы обосновывают необходимость пересмотра подходов к структуре и содержанию профессиональной компетенции филолога в связи с изменениями требований к специалисту со стороны работодателя, именно компетентностный подход лежит в основе стандартов третьего поколения. Готовность к профессиональной деятельности предполагает комплекс ключевых компетенций, обеспечивающих быструю адаптацию выпускника в разных профессиональных сферах деятельности и успешное выполнение большого количества задач, в том числе и работу с документами. Авторы исследования подчеркивают значимость формирования документоведческой компетенции в рамках основных и дополнительных образовательных программ с целью максимального приближения высшего образования к дальнейшей профессиональной деятельности выпускников в соответствии с запросами современного общества.
В данной работе авторы раскрывают практическую значимость научных трудов почетного профессора Набережночелнинского государственного педагогического университета Анатолия Владимировича Миронова в контексте современного образования, демонстрируя инновационный подход к адаптации его теоретических концепций для создания цифровых образовательных ресурсов. Основная цель проекта - интегрировать исследования природных ресурсов и экологии Республики Татарстан в серию видеоматериалов для учеников начальной школы. Студенты, участвовавшие в проекте, не только осваивали технологии создания видео, но и углубляли свои познания в области педагогики, теории и технологии преподавания интегрированного курса «Окружающий мир», экологического образования младших школьников. Под руководством преподавателей будущие учителя изучали научные труды А. В. Миронова, адаптировали его методические рекомендации к созданию интерактивных и доступных для обучающихся начальной школы видеоконтентов. Проект успешно объединил теорию и практику, позволив будущим педагогам не только формировать профессиональные компетенции, но и развивать творческий потенциал. Использование видеоматериалов, основанных на научном наследии А. В. Миронова, способствует активизации учебного процесса, делая его более вовлекающим и интересным для младших школьников. Созданные видеоролики, отражающие экологию и природное богатство Татарстана, представляют собой ценный дополнительный материал к урокам изучения окружающего мира.
В статье обосновывается важность нравственного воспитания молодого поколения россиян в современных геополитических реалиях. Обосновывается важность разработки модели нравственного воспитания студентов вузов. Аргументируется понимание нравственного воспитания как приобщения к нравственным ценностям. Доказывается, что разрабатываемая модель представляет собой нормативную модель, содержащую проект того, каким образом должно быть организовано нравственное воспитание в высшей школе. Выявлены наиболее общие тенденции моделирования процесса нравственного воспитания в педагогической науке. Обосновывается блочная структура модели и раскрывается содержание целевого (цель, задачи нравственного воспитания студентов), ценностно-мотивационного (традиционные российские духовно-нравственные ценности, принимающие форму мотивов поведения обучающихся), методологического (научные подходы и принципы их реализации), содержательно-проектировочного (ценностные основания учебных дисциплин, внеаудиторной воспитательной деятельности, педагогические условия проектирования содержания нравственного воспитания студентов), методического (формы, методы, средства нравственного воспитания студентов) и результативного (критерии и уровни нравственной воспитанности) блоков. Раскрывается назначение проблемно-диалогического, ценностно-смыслового и ситуационного подходов к организации нравственного воспитания студентов вузов. Предлагается ведущая идея создаваемой модели: воспитание студента как субъекта нравственного развития, стремящегося к такому должному, которое заключено в нравственных ценностях как ценностных основаниях его деятельности.
В данной статье рассматривается потенциал и особенности формирования в университете у будущих педагогов профессиональной готовности развивать и транслировать обучающимся семейных ценностей. Актуальность темы обусловливается кризисным состоянием современной семьи и необходимостью трансляции подрастающему молодому поколению ценностей традиционной семьи. Особенностями данного процесса понимаются автором своеобразие современного поколения юношества, специфика деятельности преподавателей педагогических профилей подготовки в университете, а также совокупность целевых, содержательных и процессуальных черт, модифицирующихся в ситуации трансформации аксиосферы современного гражданина. Выделенная автором совокупность личностно-ориентированных, социально-ориентированных, гражданско-ориентированных, художественно-ориентированных, рефлексивно-ориентированных и профессионально-ориентированных групп семейных ценностей целенаправленно формируется в выделенных образовательных условиях семейной коммуникации, досуговой деятельности, общественных объединений, а также организации общего, дополнительного и профессионального образования. Рассмотрены примеры семейного обучения на образовательных платформах с виртуальным наполнением, примеры использования в университетском образовании хакатонов, конкурсов профессионального мастерства, STEAM-проектирования. Обобщенные особенности формирования и трансляции обучающимся семейных ценностей будущими педагогами в университетском образовании (адаптивность под конкретное место, время, объем учебной нагрузки, гибридность, непрерывность, возможность возвращаться к какому-то материалу, персонализированный темп, объем, стиль и сопровождение образования с возможностями самоуправления и его корректировки) вызывают интерес у современных студентов и повышают их профессиональную мотивацию.
В педагогической деятельности немаловажную роль в становлении профессиональных качеств школьного учителя играет освоение им методов обучения тому или иному предмету. Понимая эту значимость, мы используем опыт других педагогов, методистов, учёных. Изучая и анализируя их труды, обращаемся к истории становления и развития методов обучения. В данной статье сделан акцент на проведение исторического обзора развития методов обучения в биологическом образовании школьников. На основе исторической ретроспективы представлены основные труды видных педагогов-биологов, описан их вклад в развитие методики обучения естествознанию и биологии. Приведены основные внешние и внутренние факторы, влиявшие на образовательный процесс. В частности, отношение государственной власти к естественнонаучному образованию. В статье рассмотрены основные варианты периодизации истории становления и развития методики обучения биологии и биологического образования в отечественной школе; дана характеристика отдельным периодам и методам обучения, преобладающим в данный момент; сделаны указания на использование тех или иных методов обучения биологии в современном образовании. Исходя из заявленной темы исследования, приведены сведения, отражающие развитие методов обучения биологии только до XX столетия.
В статье предложен обзор учебно-методических пособий по истории родного края для школ субъектов Российской Федерации, расположенных в Уральском федеральном округе, появившихся в период с 1970-х гг. по наши дни. Произведено сравнение ситуации в Тюменской, Курганской, Челябинской и Свердловской областях и Ямало-Ненецком и Ханты-Мансийском автономных округах. Дана оценка соответствия имеющихся учебных пособий современным требованиям школьной образовательной системы, историко-культурному стандарту школьного образования, изучению общероссийских исторических процессов на уроках истории. Сделан вывод о недостаточной обеспеченности учебно-методическим материалом по истории родного края в современных школах Уральского федерального округа. Обусловлена данная ситуация различной степенью разработанности пособий в анализируемых субъектах. Выдвинута гипотеза о том, что работа в области создания единого учебника по истории Уральского федерального округа может стать дополнительной гарантией противодействия тенденциям формирования избыточной национальной идентичности. На основе нового пособия, в котором будут учтены актуальные требования современной школьной образовательной системы, получится создать необходимую связку между локальной и общероссийской историей, когда школьник, чувствуя себя частью своего края, при этом чувствовал бы себя и частью большого региона.
В статье рассматриваются способы и пути адаптации Самарской (Куйбышевской) региональной организации Всероссийской творческой общественной организации «Союз художников России» к общественным трансформациям в 1985-1998 гг. Отмечается, что в годы перестройки художники позитивно восприняли демократические изменения в стране, которые понимались ими как свобода творчества и новые возможности для самопрезентации. Выявлены такие проблемы региональной организации художников, как недостаточное финансирование и слабое материально-техническое обеспечение. Отношения с органами власти на этом этапе носили двойственный характер. Критика пассивности партийных и советских органов власти в обеспечении потребностей отделения сопровождалась просьбами о материальной поддержке. Прекращение деятельности Союза художников СССР, централизованного финансирования и государственного регулирования культуры в начале 1990-х гг. обусловили трансформацию региональных творческих союзов. Неопределённость статуса и неустойчивость экономического положения творческой организации в период рыночных реформ в России негативно повлияли на её имидж. Отмечается, что как отдельные художники, так и организация в целом использовали различные социальные практики для приспособления к реалиям рыночной экономики. Доказано, что, несмотря на финансовые и организационные трудности, Самарскому отделению Союза художников России удалось преодолеть «разброд и шатания», сохранить единство и восстановить свою роль в художественной жизни Самарской области.
В статье рассматривается подход ФБР к радикализму и гражданскому неповиновению среди азиатских политических организаций в контексте войны во Вьетнаме и более широкого политического климата конца 1960-х и начала 1970-х годов. По архивам документов Бюро на крупнейшую такую организацию - Азиатско-американский политический альянс, приводятся методы работы спецслужбы в отношении нерадикальных и действующих в рамках закона групп. Главная угроза усматривалась во влиянии на них коммунистической партии и партии «Черные пантеры», которые были значительно радикальнее и против которых применялись антиконституционные меры борьбы. На основании проведённого исследования прослеживается неоднородность программы COINTELPRO, в рамках которой проходили расследования ФБР. Большинство азиатских политических организаций в этот период носили мирный и законный характер, а также многие их представители были профессорами в американских университетах или их студентами. В связи с чем Бюро, работая с такими организациями, действовало аккуратно, чтобы «не попасть в неловкое положение». На основе проведенного анализа сделан вывод, что деятельность ФБР в отношении азиатских политических организаций в указанный период значительно отличается от подхода агентства к другим политическим организациям.
История любой науки - это во многом история развития научной школы. Принадлежность отдельного ученого к той или иной школе позволяет характеризовать те идеи, принципы и методологические установки фундаментальных и прикладных научных отраслей, которыми он руководствуется в своих исследованиях. В данной статье рассматривается роль известного советского ученого-микробиолога З. В. Ермольевой в создании и развитии научной медицинской школы по антибиотикам. Будучи первым советским ученым, получившим отечественный антибиотик пенициллин-крустозин, она стояла у истоков исследования антибиотиков с позиций микробиологии, фармакологии и медицины. Также она приняла участие в организации советской антибиотической промышленности. На протяжении тридцати лет научная биография ученой была связана с изучением, производством, совершенствованием и применением данных антибактериальных препаратов. На основе анализа документов федеральных архивов (Российского государственного архива экономики, Российского государственного архива научно-технической документации, Российского государственного архива в г. Самаре), а также авторефератов диссертаций учеников, сотрудников и последователей З. В. Ермольевой анализируются основные направления ее научной школы медиков по антибиотикам, а также рассматривается вклад отдельных ученых в экспериментальное и клиническое изучение антибиотиков.
В статье анализируется опыт Французской колониальной империи 1930-х гг. по обеспечению внутренней безопасности в Индокитайском регионе. Рассматриваются социальные, экономические и климатические причины политических волнений (1930-1931 гг.) в северной части Аннама, а именно в двух провинциях Нгеан и Хатинь (Нге-Тинь). Даётся характеристика трёх идеологических направлений, характерных для политических партий Индокитая. Показано развитие крестьянского движения, создание альтернативных администраций в деревнях взамен колониальных. Новым учреждением для ряда деревень должны были стать советы под руководством Коммунистической партии Индокитая. Отражён взгляд колониальной администрации Индокитая на социально-экономические проблемы. Представлены корректировки во французской колониальной армии в виде отправки дополнительного контингента, как в случае с прибытием 4-го батальона Иностранного легиона из Алжира в Индокитай. Основное внимание уделяется ключевому источнику для изучения заявленной проблемы: «Вклад в историю политических движений во Французском Индокитае». Он свидетельствует о победном переломе для французской администрации в подавлении вооружённых восстаний на территории Индокитая. Документ является стенограммой и представляет собой показания вьетнамцев, которые состояли в Коммунистической партии Индокитая. Установлено, что, несмотря на сложности для Франции в области поддержания внутренней безопасности в индокитайском регионе к 1931 г., порядок в колонии на данном этапе был в основном восстановлен.
В статье рассматривается актуальная проблема отношения к культурному наследию после произошедшей в России в 1917 г. смены модели общественного развития. Анализируются противоречивые процессы по постановке на учет и сохранению историко-художественных ценностей. На основе архивных источников показывается деятельность Всероссийской коллегии по охране памятников искусства и старины и ее местных отделений. Подчеркивается роль научной и художественной интеллигенции в спасении культурных ценностей. Даются характеристики таких ее представителей, как В. Н. Перетц, М. Н. Тихомиров, К. К. Романов, Н. Г. Порфиридов, Л. А. Дурново и др. Указывается, что многие подвижники культуры в сложный послереволюционный период своим скромным трудом помогали сохранить памятники истории и культуры. На их примере дается собирательный образ таких подвижников, наиболее яркими чертами которого были глубочайшая интеллигентность, высокий профессионализм, самоотверженное служение обществу и культуре, полное отсутствие каких-либо меркантильных интересов, необыкновенная увлеченность своим делом и глубокое осознание своей миссии по спасению культурных ценностей, упорство и настойчивость в ее осуществлении. Делается вывод о том, что к спасению художественно-исторических ценностей привлекались подготовленные к этому специалисты, благодаря чему удалось сберечь значительную часть культурного наследия России и ее богатейшие традиции.
Ишкининские курганы располагаются на территории древних медных рудников, которые могли быть созданы самими рудокопами. Материалы из погребений данных могильников в сумме включают шесть скелетов, относящихся к ямной и алакульской археологическим культурам эпохи бронзы. Люди раннего этапа этой эпохи, судя по морфологическим особенностям скелетов, представляют собой довольно рослое европеоидное по облику население. Реставрированный мужской череп (Ишкиновка I, 3/7) специфичен, отличается от типичных ямных краниумов Волго-Уралья ультрадолихокранией, очень высоким лицом. По мужской наследственности этот индивид имеет ту же гаплогруппу, что была свойственна многим волго-уральским ямникам (R-Z2106), а по женской (mtDNA: H13a1a1) он обнаруживает полную аналогию с образцом хвалынской энеолитической культуры (Хлопков Бугор, п. 8), обладательница которого краниологически представляет типичный уралоидный комплекс. Вероятно, физические характеристики этого человека, и облик в целом, являются отражением метисации его прародителей. Алакульские скелеты могильников Ишкиновка I, III отличаются большей грацильностью. С учетом ранее опубликованных сведений, носители алакульской культуры поздней бронзы имели генезис, не связанный с древним ямным населением. Это, как и археологические данные, показывает, что древние рудники разрабатывались довольно долго, причем носителями разных археологических культур. Наличие на скелетах обеих культур случаев травматизма и естественных патологий может говорить о наличии стрессовых факторов, послуживших их возникновению.
В представленной статье вводятся в научный оборот первые итоги петрографического изучения неолитической керамики стоянки Лужки II. Всего было проанализировано 22 образца от сосудов орнаментированных наколами (8 обр.), оттисками гребенчатого штампа (9 обр.), их сочетанием (1 обр.), ногтевидными насечками (2 обр.), а также лишь поясками ямочных вдавлений под срезом венчика (2 обр.). Петрографический анализ керамики позволяет установить минералогический состав глин и отощителей, выявить рецептуру керамического теста, определить температуру и условия обжига, а также предположить возможные источники сырья. По итогам микроморфологического изучения в коллекции стоянки Лужки II выделяется две группы посуды. Для первой характерно использование в качестве отощителя песка и шамота, а для второй, состоящей из двух образцов, только песка. В целом можно резюмировать, что все рассмотренные сосуды изготовлены из тощих глин, преимущественно гидрослюдистых с содержанием кластического материала от 18% до 35%. В качестве отощителя всегда выступал песок, в основном его доля около 45%, концентрация шамота не превышает 20%, его размером 0,7-1,3 мм. Условия долговременного обжига сосудов стабильные при температуре в основном +700…+800°C в окислительной среде.
В статье рассматривается состояние питьевого Волынцевского водохранилища и его притоков в условиях значительного изменения гидрорежима и загрязнения сточными шахтными водами. Рассматривается состояние альгофлоры водного объекта, представлены результаты изучения видового состава фитопланктона, содержания основных фотопигментов и фотосинтетической активности микроводорослей. В исследовании представлены результаты применения метода флуориметрической оценки состояния клеток фитопланктона как основного биоиндикатора состояния водной среды. Исследовались воды Волынцевского водохранилища и р. Булавин в окрестностях г. Енакиево. Данные водные объекты подвержены значительному техногенному воздействию: в результате интенсивного водопользования ресурсов водохранилища произошло значительное снижение уровня воды и, как следствие, ухудшение качества воды. Проведенные исследования показали значительное превышение допустимых норм по содержанию ионов магния, сульфатов, общей жесткости и щелочности в пробах воды. Показано негативное воздействие загрязнения поверхностных вод на видовой состав альгофлоры, а также фотосинтетическую активность клеток фитопланктона. Полученные материалы могут служить основой для дальнейшего мониторинга питьевых водохранилищ региона. Сложившаяся ситуация требует постоянных мониторинговых наблюдений, направленных на выявление и устранение всех источников загрязнения исследуемых водных объектов.
В статье рассматриваются особенности онтогенеза, формирования биоморфы (в онтогенетическом аспекте) и фитоценотическая приуроченность в условиях Пензенской области редкого растения России эндемика головчатки Литвинова Chephalaria litvinovii Bobrov. Методы полевых исследований дополняются лабораторным экспериментом по влиянию низких положительных температур на всхожесть семянок. Проведенные исследования показали, что индивидуальное развитие особей этого вида включает 4 периода и 9 онтогенетических состояний, морфометрические показатели которых представлены в работе. Показано, как моноцентрическая биоморфа этого каудексного поликарпика в старом генеративном возрастном состоянии сменяется неявнополицентрической за счёт формирования гипогеогенных корневищ. Показано стимулирующее действие температуры +2°C в течение 2 недель на всхожесть семянок. Отмечается фитоценотическая приуроченность C. litvinovii к болотистым и реже - к настоящим и остепнённым лугам в поймах рек, а также по лесным полянам и опушкам. Полученные материалы могут служить основой для разработки более эффективных мероприятий по охране вида, в том числе в условиях культуры при интродукции в условиях ботанических садов.
Гибридные сеянцы яблони домашней по устойчивости к парше отбирали в возрасте 1-2 года в селекционном питомнике после их искусственного заражения. Пересаженные в селекционный сад, отборы сразу оценивали по зимостойкости, устойчивости к низким экстремальным температурам и другим факторам зимнего периода. В 9-10 лет выделяли в элиту по вкусу и плодоношению. Элитные растения с признаками лучшего вкуса и высокого урожая из числа устойчивых гибридов отбирали в полевых условиях и на дегустационной комиссии. Качества вкуса и плодоношения были доминирующими при определении культурности гибридных яблонь в характерном для Самарской области континентальном климате. Саженцы элит выращивали в питомнике на полукарликовом подвое 54-118 и пересаживали двухлетками в коллекционный сад для первичного сортоизучения. Наблюдения осуществляли в Научно-исследовательском институте садоводства и лекарственных растений «Жигулёвские сады» в посёлке Малая Царевщина. Сортоизучение включало в себя визуальную и дегустационную оценку качества плодов (внешний вид, вкус, размер, структуру мякоти), урожайность, характер, стабильность и тип плодоношения дерева, оценку формы кроны, общее состояние деревьев, стабильность устойчивости к парше и зимостойкости и другие.
Определены лейкоцитарные формулы крови 16 видов пяти семейств черепах, ведущих полуводный образ жизни, из Самарского зоопарка. При сравнении лейкограмм представителей двух родов семейства Emydidae выявлены пониженная доля гетерофилов и повышенная доля базофилов у Graptemys ( G. pseudogeographica, G. nigrinoda ) по сравнению с Terrapene ( T. triunguis, T. ornata ). Лейкоцитарный профиль Cuora mouhotii (Geoemydidae) отличался повышенным содержанием гетерофилов, что показывало более высокую активацию врожденных иммунных реакций. Наиболее сходны по лейкоцитарному составу виды семейства Kinosternidae из трех родов: Kinosternon, Sternotherus и Staurotypus. Инфраотряд Trionychia (Trionychidae) отличался от инфраотряда Durocryptodira (Emydidae, Geoemydidae и Kinosternidae) повышенным количеством гетерофилов и моноцитов, невысоким содержанием эозинофилов. Подотряд Pleurodira (Chelidae) отличался от подотряда Cryptodira (Emydidae, Geoemydidae, Kinosternidae, Trionychidae) повышенным содержанием агранулоцитов. Выявлены отражающие усиление роли неспецифической резистентности организма черепах в ходе онтогенеза положительные значимые корреляции длины карапакса с содержанием гетерофилов и значениями лейкоцитарных индексов (соотношения лимфоцитов и эозинофилов, гетерофилов и эозинофилов, гетерофилов и лимфоцитов), отрицательные значимые корреляции с содержанием эозинофилов. Соотношение гетерофилов и лимфоцитов, являющееся показателем физиологического стресса, имело минимальное среди исследованных видов значение у Sternotherus odoratus (Kinosternidae), максимальное значение - у C. mouhotii (Geoemydidae).
В статье рассматривается участие млекопитающих в восстановлении нарушенных экосистем. Так как в ряде регионов Северо-Запада интенсивность антропогенной нагрузки в виде лесозаготовительной деятельности не снижается, а в некоторых случаях даже повышается, то изучение степени влияния каждого компонента экосистемы на процесс восстановления нарушенных таежных биогеоценозов является актуальной проблемой и требует разностороннего рассмотрения. В Вологодской области лесозаготовительная деятельность направлена на увеличение площадей сплошных концентрированных рубок, которые оказывают серьезное влияние на лесные биогеоценозы. Средообразующая (средопреобразующая или биогеоценотическая деятельность) животных - это работа, выполняемая организмами по осуществлению и регуляции любых биогеоценотических процессов, в частности, по преобразованию веществ и энергии и поддержанию равновесного состояния системы. Проанализированы наиболее выраженные виды средопреобразующей и биогеоценотической деятельности наземных млекопитающих: трофо-механическая (на примере лося и зайца беляка), экскреторная (лось, заяц беляк, кабан, медведь, волк и лисица), выносяще-переотложная (крот) и копательно-разрыхляющая (кабан) на территории нарушенных после лесозаготовительной деятельности таежных мезоэкосистем (вырубки). Выявлено, что в результате трофико-механической деятельности фитофаги не наносят ущерба древесному фитоценозу, так как мозаичность местообитания и сукцессионные процессы в сторону лиственных растений - рябины, осины и ивы - обеспечивают млекопитающих-фитофагов кормами в достаточном количестве. Экскреторная, выносяще-переотложная и копательно-разрыхляющая деятельность млекопитающих поддерживает процесс круговорота веществ и поток энергии, что способствует самовосстановлению, самоочищению, саморегуляции и повышению устойчивости нарушенных лесных таежных экосистем Вологодчины.
В работе рассмотрены вопросы онтогенетических изменений механической устойчивости 18 видов древесных растений, произрастающих в экосистемах промышленного города Донецка: Acer campestre L., Acer negundo L., Acer platanoides L., Acer pseudoplatanus L., Acer saccharinum L., Aesculus hippocastanum L., Betula pendula Roth, Fraxinus excelsior L., Fraxinus lanceolata Borkh., Gleditsia triacanthos L., Populus simonii Carriere, Populus nigra L., Populus balsamifera L., Populus bolleana Lauche, Quercus robur L., Robinia pseudoacacia L., Tilia cordata Mill., Ulmus laevis Pall. Установлено, что на начальных стадиях онтогенеза древесных растений их биомеханика обеспечивает выживание посредством высокой гибкости. Это связано с небольшой критической массой и нагрузкой, которые легко достигаются при действии на растение статических и динамических факторов. Лишь значительное увеличение линейных размеров позволяет удерживать собственную массу весом в несколько тонн и выше, а также выдерживать действие неблагоприятных климатических факторов. Исследованные онтогенетические зависимости механической устойчивости основных видов древесных растений в экосистемах города Донецка должны быть использованы при озеленении города.
В данной работе были исследованы таксономический состав, биоразнообразие, численность, биомасса, экологические особенности планктонных водорослей и качество воды в озере Заозерное Псковской области через год после признания территории памятником природы. Выявлено двукратное увеличение видового богатства планктона, снижение представителей отдела Euglenozoa в два раза и на 40% представителей Cyanobacteria. Идентифицировано 145 таксонов фитопланктона рангом ниже рода из 8 отделов: Bacillariophyta (50 видовых таксонов), Chlorophyta (36), Ochrophyta (18), Cyanobacteria (12), Euglenozoa (12), Miozoa (Dinophyceae) (8), Cryptophyta (5) и Charophyta (4). По биомассе преобладали диатомовые и криптофитовые водоросли. Среди доминант по численности определены токсичные виды цианобактерий Aphanocapsa delicatissima и Aphanothece sp. Выявлено 2 редких вида водорослей для водоемов Северо-Западного региона - Anabaena sphaerica Bornet & Flahault (Cyanobacteria) и Phacus monilatus (A. Stokes) Lemmerman (Euglenozoa). Анализ видового разнообразия с помощью индексов Сьеренсена-Чекановского, Шеннона, Симпсона и Маргалефа показал изменения структуры планктонного сообщества в разных частях озера. Проведено сравнение видового состава озера Заозерное с ближайшими к нему озерами.
В статье представлены результаты исследования особенностей существующего растительного покрова на территории Кипчаковского археологического комплекса (Республика Башкортостан). Представлены данные эколого-ботанического описания, которые способствуют интерпретации естественного состояния группировок растительности на территории, где проводятся археологические изыскания. Исследуемые могильник и городище входят в состав объектов Кипчаковского археологического комплекса и расположены близ села Кипчаково. В статью включен список сосудистых растений, которые были обнаружены и описаны на данной территории в ходе проведения исследования в 2022 году, с указанием их приуроченности к пробным площадям Кипчаковского археологического комплекса. По данным исследования выделены наиболее распространенные виды сосудистых растений, в их число входят: Vicia tenuifolia Roth, Fragaria vesca L., Trifolium alpestre L., Galium verum L., Achillea millefolium L., Dactylis glomerata L., Trifolium montanum L., Trifolium medium L., Galium boreale L., Elytrigia repens (L.) Nevski. На сегодняшний день территория исследования оценивается как слабо нарушенная.
Статистика статьи
Статистика просмотров за 2025 год.
Издательство
- Издательство
- СГСПУ
- Регион
- Россия, Самара
- Почтовый адрес
- 443099, Самарская область, город Самара, ул. Максима Горького, д.65/67
- Юр. адрес
- 443099, Самарская область, город Самара, ул. Максима Горького, д.65/67
- ФИО
- Бакулина Светлана Юрьевна (РЕКТОР)
- E-mail адрес
- rectorat@sgspu.ru
- Контактный телефон
- +7 (846) 2074400
- Сайт
- https://sgspu.ru