Статья: ВОЗДЕЙСТВИЕ ИОНОВ МЕДИ НА РОГОЛИСТНИК ПОГРУЖЕННЫЙ (CERATOPHYLLUM DEMERSUM L.) (2024)

Читать онлайн

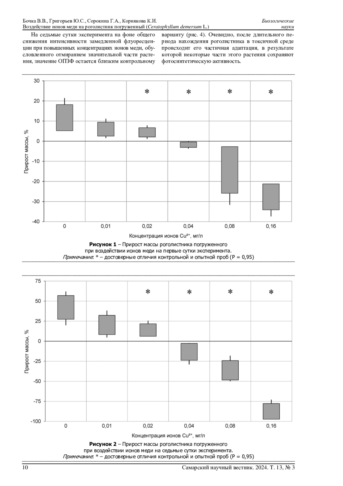
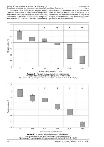
В данной статье представлены результаты исследования влияния ионов меди в концентрациях 0,01-0,16 мг/дм³ в лабораторных условиях на устойчивость высшего водного растения - роголистника погруженного. Несмотря на то, что медь является биофильным элементом, все изученные концентрации ионов данного элемента оказали негативное воздействие на прирост массы растений и величину относительного параметра замедленной флуоресценции хлорофилла (ОПЗФ) уже на первые сутки экспонирования. В течение семисуточного токсикологического эксперимента подавление роста растений при воздействии токсиканта усиливалось. Наибольшее снижение ОПЗФ по сравнению с контролем во всех исследованных концентрациях ионов меди наблюдается на первые сутки эксперимента. Однако после длительного периода нахождения роголистника в токсичной среде происходит его частичная адаптация, в результате которой некоторые части этого растения сохраняют фотосинтетическую активность. Установлено, что растения сохраняют свою жизнеспособность до концентрации 0,02 мг/дм³, соответствующей 20 ПДК в водах объектов рыбохозяйственного значения. Концентрации 0,04 мг/дм³ и выше уже на первые сутки привели к потере листьев. Устойчивость растения к действию ионов меди позволяет рассматривать его как потенциальный фиторемедиант вод, загрязненных соединениями данного элемента.

Ключевые фразы: ионы меди, водные макрофиты, тяжелые металлы, флуоресценция хлорофилла, относительный показатель замедленной флуоресценции
Автор (ы): Бочка Валерия Вячеславовна, Григорьев Юрий Сергеевич, Сорокина Галина Александровна, Корнякова Карина Ильясовна
Журнал: САМАРСКИЙ НАУЧНЫЙ ВЕСТНИК

Предпросмотр статьи

Идентификаторы и классификаторы

SCI
Биология
УДК
574.24. Экологическая физиология организмов. Реакции организма на изменение факторов среды
57.044. Химические факторы
Для цитирования:
БОЧКА В. В., ГРИГОРЬЕВ Ю. С., СОРОКИНА Г. А., КОРНЯКОВА К. И. ВОЗДЕЙСТВИЕ ИОНОВ МЕДИ НА РОГОЛИСТНИК ПОГРУЖЕННЫЙ (CERATOPHYLLUM DEMERSUM L.) // САМАРСКИЙ НАУЧНЫЙ ВЕСТНИК. 2024. ТОМ 13, № 3
Текстовый фрагмент статьи