Статья: СОДЕРЖАНИЕ РТУТИ В ОРГАНАХ РЫБ РАЗНЫХ ВОДОЁМОВ УСТЮЖЕНСКОГО РАЙОНА ВОЛОГОДСКОЙ ОБЛАСТИ (2024)

Читать онлайн

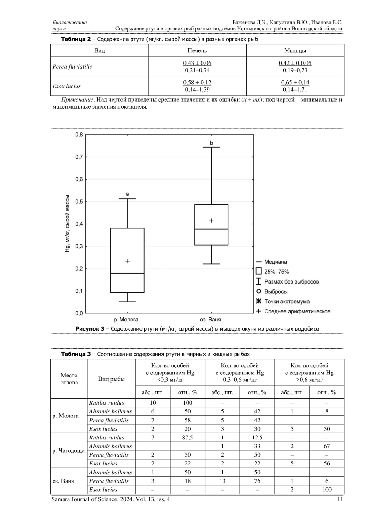
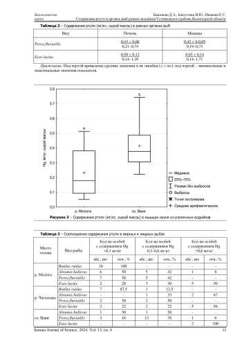
В данной статье рассматриваются уровни накопления и распределения ртути в тканях рыб разного трофического статуса из разных водных объектов (р. Молога, р. Чагодоща, оз. Ваня), расположенных в западной части Вологодской области, отличающейся благоприятными для процессов метилирования природно-климатическими условиями. Содержание ртути было определено в 108 пробах тканей 87 особей четырех видов рыб: плотва обыкновенная Rutilus rutilus (Linnaeus, 1758); синец Abramis ballerus (Linnaeus, 1758); окунь речной Perca fluviatilis Linnaeus, 1758; щука обыкновенная Esox lucius Linnaeus, 1758. Общую концентрацию ртути измеряли на ртутном анализаторе РА-915M с приставкой ПИРО+ (нижний предел обнаружения ртути в образцах 0,001 мг/кг). Значения показателя ртути в тканях исследованных видов рыб варьирует в пределах от 0,02 до 1,7 мг/кг, сырой массы. Минимальные средние значения отмечены для преимущественно нехищного вида - плотвы (0,12 мг/кг, сырой массы), максимальные средние значения отмечены у типичного хищника - обыкновенной щуки (0,64 мг/кг, сырой массы) (у отдельных особей превышало 1,5 мкг/г). Промежуточные значения характерны для окуня и синца (в среднем 0,33 мг/кг, и 0,37 сырой массы соответственно). Установлено, что у 28% исследованных особей содержание ртути превышает нормативные уровни, действующие в Российской Федерации (0,3 мкг/г для нехищных видов и 0,6 мкг/г для хищных видов рыб).

Ключевые фразы: ртуть, тяжелые металлы, Вологодская область, рыба, пищевые сети, предельно допустимая концентрация, плотва обыкновенная, rutilus rutilus (linnaeus, синец, abramis ballerus (linnaeus, окунь речной, perca fluviatilis linnaeus, клеточный иммунитет, щука обыкновенная, esox lucius linnaeus
Автор (ы): Баженова Дарья Эдуардовна, Капустина Виктория Юрьевна, Иванова Елена Сергеевна
Журнал: САМАРСКИЙ НАУЧНЫЙ ВЕСТНИК

Предпросмотр статьи

Идентификаторы и классификаторы

SCI
Рыбоводство
УДК
597.4/.5. Osteichthyes. Костные рыбы
Для цитирования:
БАЖЕНОВА Д. Э., КАПУСТИНА В. Ю., ИВАНОВА Е. С. СОДЕРЖАНИЕ РТУТИ В ОРГАНАХ РЫБ РАЗНЫХ ВОДОЁМОВ УСТЮЖЕНСКОГО РАЙОНА ВОЛОГОДСКОЙ ОБЛАСТИ // САМАРСКИЙ НАУЧНЫЙ ВЕСТНИК. 2024. ТОМ 13, № 4
Текстовый фрагмент статьи