В данной научной работе рассматривается использование технологий искусственного интеллекта для решения задач в аналитике данных. Проводится анализ алгоритмов для поиска подобия текста. Приводится графическое и текстовое описание используемого для анализа данных алгоритма. Дана характеристика вспомогательным библиотекам Python для составления аналитики и визуализации данных. В заключение статьи представлен результат составления аналитики в формате информационной панели (дашборд).
Идентификаторы и классификаторы
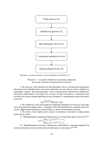
Внедрение цифровых технологий дало мощный толчок в развитии бизнес-индустрии нашей страны. Повышенная конкуренция среди квалифицированных специалистов привела большое количество компаний в тупик при подборе кадров. Одним из ключевых аспектов при подборе квалифицированных сотрудников являются их знания в определённой предметной области.
Список литературы
1. Van Otten, N. Top 7 Ways To Implement Document & Text Similarity In Python: NLTK, Scikit-learn, BERT, RoBERTa, FastText and PyTorch. - URL: https://spotintelligence.com/2022/12/19/text-similarity-python/#1_Cosine_similarity (дата обращения: 09.10.2024).
2. Жандарова, А. С. Использование метода латентно-семантического анализа в задачах определения релевантной новостной повестки (на материале французского языка) / А. С. Жандарова // Романские языки: прагматика и дискурс (способы выражения и содержание): Материалы Международной научной конференции, Москва, 28-29 июня 2022 года / Отв. редактор И.В. Скуратов. - Москва: Московский государственный областной университет, 2022. - С. 101-105. - EDN. EDN: MIATHV
3. Обработка естественного языка (NLP) методами машинного обучения в Python. - URL: https://habr.com/ru/companies/otus/articles/687796/(дата обращения: 09.10.2024).
4. Иванова, Д. Д. Web-разработка на языке phthon. Фреймворки / Д. Д. Иванова // Инноватика в современном мире: опыт, проблемы и перспективы развития: Сборник научных статей по материалам XII Международной научно-практической конференции, Уфа, 10 мая 2023 года. Том Часть 2. - Уфа: Общество с ограниченной ответственностью “Научно-издательский центр “Вестник науки”, 2023. - С. 319-322. EDN: KVRIBZ
5. Чуланова, О. Л. Дашборд как эффективный инструмент эффективной HR-аналитики / О. Л. Чуланова, Э. Р. Валеева // Актуальные проблемы общества, экономики и права в контексте глобальных вызовов: Сборник материалов XXIV Международной научно-практической конференции, Москва, 03 ноября 2023 года. - Санкт-Петербург: Печатный цех, 2023. - С. 163-169. EDN: JYJIYO
6. Агапов, Ю. Г. Сравнительный анализ библиотек языка Python для изучения методов визуализации данных / Ю. Г. Агапов, М. А. Подвесовская // Информационные технологии. Проблемы и решения. - 2022. - № 2(19). - С. 20-26. EDN: GBCAWE
Выпуск
Другие статьи выпуска
В статье рассматриваются проблемы профессиональной адаптации, варианты внешних и внутренних способов помощи и самопомощи в условиях неопределённости и постоянных изменений в окружающем мире. Анализируется определение понятия неопределённости и изменения, произошедшие в мире и в России за пять последних лет.
Статья посвящена изучению политических переговоров с использованием метода медиации. В данной работе рассматривается развитие института политической медиации, целью которого является выявление и разрешение политических споров и конфликтов на международном уровне. Анализируется понятие антропоцентризма в политологии и в международных отношениях. Приводятся исторические примеры успешного проведения процесса медиации в международных конфликтах. Акцентируется внимание на перспективах развития института медиации, даны рекомендации по улучшению её механизмов. Отмечается роль международных организаций в эволюции процесса медиации.
В настоящей статье авторы обратились к опыту применения дистанционного электронного голосования (далее - ДЭГ) в Нижегородской области. Преимущественно анализировались итоги президентских выборов 2024 года, прежде всего в плане различий традиционного и электронного голосования. Сделаны отдельные выводы относительно будущего ДЭГ в регионе.
В условиях стремительного развития информационных технологий и глобализации возрастает роль институтов гражданского общества в процессах формирования и реализации государственных стратегий. Институты гражданского общества, такие как некоммерческие организации, профсоюзы, общественные движения и ассоциации, играют ключевую роль в поддержании стабильности и устойчивого развития общества. Они не только представляют интересы различных социальных групп, но и выступают важным звеном в диалоге между государством и гражданами.
В наши дни явление преступности среди молодёжи становится одним из наиболее острых социальных вызовов, требующих внимания как со стороны государства, так и общества в целом. Тематика статьи обусловлена сложными и многогранными взаимосвязями между государственными институтами, молодёжной средой и преступными проявлениями. Несмотря на развитие правовых систем и усиливающуюся роль социальной политики, преступность среди молодёжи остаётся значительной проблемой, обусловленной различными факторами. Рассматриваемая тема остаётся актуальной на стыке интересов государства, общества и молодого поколения, что подчёркивает необходимость комплексного подхода к решению проблемы преступности среди молодёжи с учётом мнений и потребностей всех заинтересованных сторон.
В данной статье рассматривается роль креатина как природного соединения, важного для производства энергии в мышцах, а также его влияние на физическую активность и адаптацию организма к нагрузкам. Анализируются результаты клинических испытаний, подтверждающих эффективность креатина в повышении мышечной массы и силы, а также его влияние на восстановление после интенсивных тренировок. Обсуждаются вопросы безопасности применения креатина, включая потенциальные риски и побочные эффекты, которые были тщательно изучены в последние годы.
В статье рассматривается значение корпоративной физкультуры для профилактики профессиональных заболеваний и повышения работоспособности сотрудников. Выделяется значимость физической культуры как инструмента для поддержания здоровья и безопасности на рабочем месте. Анализируются различные виды физической активности, такие как утренняя гимнастика, циклические виды спорта, общеразвивающие и дыхательные упражнения, а также их влияние на функциональное состояние работников. Обсуждаются меры по оптимизации рабочего процесса и улучшению условий труда, которые способствуют повышению эффективности и снижению утомляемости сотрудников.
Физическое воспитание в семье играет ключевую роль в формировании основ здорового образа жизни, особенно у детей и подростков. Именно в семейной среде закладываются первые привычки, которые становятся основой для будущего отношения к физической активности и заботе о здоровье. Физическое воспитание в семье способствует гармоничному развитию личности, укреплению семейных связей и формированию активной гражданской позиции у детей. Родители, вовлекая своих детей в физическую активность, не только заботятся об их здоровье, но и готовят их к успешной и полноценной жизни.
Мотивация студентов к посещению уроков физкультуры снижается с каждым годом. На эту проблему влияет множество факторов, включая то, что обучающимся неинтересно на занятиях. Решение сложившейся ситуации требует пристального внимания педагогов, а также принятия быстрых решений с учётом применения современных методик, научно обоснованных подходов к проведению занятий и формированию интереса у студентов на основе индивидуального подхода.
В данной статье рассматривается важность физического воспитания в процессе становления личности; описываются положительные аспекты физического совершенствования человека; анализируются методы физического воспитания.
В данной статье рассматривается популярная спортивная игра - настольный теннис, история её возникновения, правила игры, основные тактики и стратегии. Приводятся рекомендации по выбору инвентаря для игры в настольный теннис, тренировочные упражнения для развития спортивных навыков. В заключение подчёркивается польза от занятий настольным теннисом.
Неотъемлемую часть жизни человека составляет его физическое состояние: иммунитет, нервная система, сила мышц и прочность костей. Физические нагрузки играют большую роль не только в развитии здоровья человека, но и в улучшении психологического состояния, тем самым давая возможность обеспечить успех личности в повседневности. Также немаловажным критерием для полноценной жизни человека является стрессоустойчивость в профессиональной деятельности. Этого можно достичь благодаря физическому воспитанию.
Физическое воспитание является важным компонентом в образовательном процессе, становлении и развитии личности, формировании здорового образа жизни. Оно помогает молодёжи более рационально подходить к вопросам собственного здоровья и здоровья окружающих их людей.
Ассортимент безглютеновых смесей, представленный в настоящее время на потребительском рынке страны, включает преимущественно продукцию российских производителей. Это различные смеси для выпечки хлебобулочных и мучных кондитерских изделий, смеси для приготовления полуфабрикатов и отдельных блюд. Ассортимент этой группы расширяется, совершенствуется состав, повышается качество и пищевая ценность.
В данной статье был проведён анализ значимости зелёных облигаций как инструмента ответственного инвестирования, способствующего развитию и реализации социально значимых проектов.
Технология блокчейн как составляющая финансовых инструментов хранения и передачи информации играет значительную роль в развитии экономики в целом. В статье рассматриваются и описываются перспективы использования системы, представляющей собой особый реестр данных, а также направления её развития в ближайшем будущем. Кроме того, приводятся доводы о потенциальных вызовах и вероятных препятствиях, стоящих на пути широкого распространения данной технологии. Авторы делают особый акцент на потенциальных преимуществах и возможностях применения технологии в различных областях, в особенности в банковской и финансовой сферах.
Бюджетно-налоговая политика нацелена на устойчивое развитие российской экономики через модернизацию, повышение уровня жизни, снижение социального неравенства и адаптацию бюджетной системы. Санкции ЕС и США затрагивают производство и эконо-мику в целом, а такие факторы, как снижение цен на нефть, девальвация рубля и отток капитала, ведут к дефициту бюджета. В этих условиях налоговая политика остаётся ключевым инструментом, а повышение эффективности налоговой системы становится приоритетным направлением.
Важное место в структуре активов предприятия принадлежит оборотному капиталу. С ним связано несколько специфических моментов, которые необходимо учитывать для эффективного финансового управления. С одной стороны, это текущие решения, которые нужно принимать во внимание в связи с высокой динамичностью этой составляющей активов. С другой стороны, это решения, которые несут в себе стратегические нагрузки и касаются политики финансирования оборотных активов.
В данной статье рассмотрены вопросы, связанные с теорией поколений, и влияние этого феномена на психологический уровень в компаниях, в т. ч. на механизмы мотивации, обучения. Отдельным блоком показан новый тип управления, который набирает популярность среди российских компаний, - бирюзовый - и то, как этот тип управления взаимосвязан с психологическими особенностями личности. Также был дан ответ на гипотезу - могут ли работать друг с другом представители разных поколений в современных компаниях.
В статье рассматривается роль оценки стоимости бизнеса в процессе принятия управленческих решений в компании, анализируются различные методы оценки стоимости бизнеса и подходы к оценке стоимости. Акцентируется внимание на том, каким образом оценка стоимости бизнеса влияет на различные аспекты деятельности организации.
Сейчас организации сталкиваются с разными проблемами, например возникновение конфликтов в коллективе. К каждому конфликту нужно подходить серьёзно и индивидуально для снижения риска появления подобного в будущем. За это отвечает, как правило, менеджер по персоналу (HR-менеджер), используя различные инструменты и методики в своей работе. В данной статье рассмотрен один из методов помощи менеджерам при анализе конфликтов - метод декомпозиции (разделения) проблем «Дерево проблем». «Дерево проблем», представленное в статье, разработано на основе реальной проблемы.
В настоящей статье проведено исследование возможностей и перспектив применения технологий искусственного интеллекта (далее - ИИ) в сфере управления с особым акцентом на аспекты, связанные с современными подходами менеджмента. Анализируя преимущества и потенциальные риски интеграции ИИ, мы выделили основные направления его развития и предложили практические рекомендации по эффективному внедрению данных технологий в управленческие процессы. Основной целью статьи является детальное рассмотрение и всесторонний анализ преимуществ, а также перспективных возможностей использования ИИ для оптимизации управленческих решений и бизнес-процессов. В рамках исследования акцентируется внимание на том, каким образом технологии ИИ способны повысить результативность управленческих практик, способствовать цифровой трансформации бизнес-моделей и создавать инновационные инструменты, которые будут востребованы в будущем. Также подчёркиваются ключевые детерминанты, влияющие на успешность применения ИИ в управлении. В заключительной части статьи сформулированы выводы, резюмированы основные результаты проведённого анализа, а также представлены уникальные подходы к совершенствованию практик управления на основе технологий ИИ.
Экономическая безопасность на предприятии является очень важной составляющей, поскольку она функционирует именно для оптимизации деятельности, поиска альтернативных вариантов для её развития, поиска уязвимых мест и предложений для их минимизации или нейтрализации. Для предприятий, которые производят и продают продукцию, особенно важно оценивать свою позицию на рынке, определять преимущества и уязвимости. Поэтому важно использовать методы маркетингового анализа как составляющую конкурентной разведки.
В условиях стремительного развития технологий автоматизация процессов аудита становится неотъемлемой частью профессиональной практики, что, в свою очередь, трансформирует роль аудиторов в организации. Искусственный интеллект (ИИ) играет всё более значимую роль в современном аудите, трансформируя традиционные процессы и подходы к проверке финансовой отчётности и внутреннего контроля, однако субъективные качества аудитора, такие как критическое мышление, творческий подход и способность к интерпретации сложной информации, всё ещё имеют особую ценность.
В статье рассматривается взаимосвязь корпоративных финансов и финансового рынка. Указана их роль в современной экономике. Подробно анализируется сущность финансового рынка и корпоративных финансов как важнейших элементов экономики. Уделено внимание таким понятиям, как финансовые технологии и цифровая валюта, обозначено их влияние на корпоративные финансы.
В современных условиях муниципальное образование в силу законодательно закреплённых за органами местного самоуправления полномочий является не только административно-территориальной единицей, но и становится центром решения многих социально-экономических задач конкретной территории, важнейшей из которых является обеспечение экономической безопасности. Главный стратегический ориентир экономической безопасности на муниципальном уровне заключается в переходе к устойчивому развитию всех её базовых составляющих на основе задействования и рационального использования внутренних и внешних ресурсов.
В настоящей статье анализируются отдельные значимые аспекты формирования комфортной городской среды. Выявлены основные факторы, которые необходимо учитывать при планировании и перепланировании общественных пространств в городах.
В современных компаниях руководители стремятся создать дружный и крепкий коллектив, ведь именно данный фактор будет в большей степени способствовать достижению целей и успешности организации. Для работы с коллективом, отслеживания ситуации в нём и иных действий в компании зачастую присутствует менеджер по персоналу. В данной статье рассмотрены действия менеджера по персоналу в том случае, если в коллективе сложился неблагоприятный климат, а также представлены методы предотвращения данной ситуации и результаты проведённого исследования по данной теме.
Торговые отношения между государствами по всему миру приобрели масштабный характер. Общий объём товарооборота достиг наивысших показателей и никогда ещё ранее не осуществлялся в таких размерах. В связи с этим, возрос также и уровень криминальной деятельности, связанной с перемещением нелегальной продукции. Вполне логично, что проконтролировать такой процесс силами одного органа не представляется возможным. Для такого рода целей различными государствами мира была создана система, составные части которой сотрудничают между собой по вопросам пресечения и предотвращения контрабанды товаров.
В статье исследуются теоретические и практические аспекты эффективного управления экономическими процессами через инвентаризацию и контроль нефинансовых активов. Подчёркивается значимость ревизии для выявления нарушений, обеспечения правопорядка и оптимизации использования ресурсов. Внедрение международных стандартов учёта улучшает управление активами, что способствует более эффективному функционированию экономических субъектов в условиях современной экономики.
В данной научной работе проводится анализ одной из особых экономических зон Владимирской области - «Доброград-1». Авторами рассмотрены аспекты, касающиеся состояния устойчивого развития экосистемы Доброграда. Сделаны соответствующие выводы, а также предложены, по мнению авторов, лучшие перспективы устойчивого развития экосистемы рассматриваемой особой экономической зоны.
Международное таможенное сотрудничество направлено на улучшение таможенного контроля, упрощение процедур и борьбу с нарушениями. В статье рассматриваются примеры успешного применения информационных систем, таких как электронные таможенные системы и платформы для обмена данными между таможенными органами. Приводятся примеры таких операций, включая совместные действия различных государств, направленные на повышение безопасности и соблюдение законности на границах. Особое внимание уделяется инициативам по упрощению и ускорению таможенных процедур. В рамках таких проектов, как взаимное признание уполномоченных экономических операторов и создание «Зелёных коридоров», таможенные службы стремятся снизить административные барьеры и ускорить процесс таможенного оформления для участников внешнеэкономической деятельности.
Спутниковые технологии применяются в различных отраслях: от сложных научных исследований до простейшей установки связи для обеспечения передачи информации между несколькими коммуникаторами. В то время как большинство стран мира активно ведёт разработку новых видов спутниковых систем, процесс разработки спутников в России сталкивается с рядом трудностей в последние пять лет. Из-за санкций со стороны стран Запада всё большую актуальность приобретает вопрос об импортозамещении зарубежных спутников и о разработке собственных российских систем спутниковой связи.
Институт образования в современной России имеет ряд особенностей, сформировавшихся в ходе исторического и культурного развития. Поддержка и развитие данной сферы оказывают непосредственное воздействие на экономическую ситуацию в стране.
Данная научная статья проводит обзор существующих методик оценки эффективности проектов государственно-частного партнёрства. В работе рассматриваются различные подходы и модели, используемые для анализа и оценки результативности таких проектов. Будут рассмотрены как качественные, так и количественные инструменты оценки, а также их преимущества и недостатки. В заключение автор делает выводы о необходимости усовершенствования методик оценки для повышения эффективности реализации проектов государственно-частного партнёрства.
Данная статья посвящена рассмотрению вопросов государственной финансовой поддержки промышленных предприятий в России в целом, а также в Нижегородской области в частности. В работе приводятся различные мнения исследователей на трактовку понятия «государственная поддержка», а также даётся дефиниция термина «импортозамещение». В статье описаны некоторые наиболее распространённые инструменты государственной финансовой поддержки предприятий в условиях санкций и политики импортозамещения.
Статья посвящена анализу развития информационных технологий в России в 2024 году и выявлению ключевых факторов, способствующих прогрессу отрасли. Основополагающую роль играют стратегия импортозамещения и государственная поддержка, которые способствуют активному развитию и локализации технологий. Проблема дефицита квалифицированных специалистов стимулирует внедрение автоматизации, а повышение цифровых навыков бизнес-сообщества стимулирует интеграцию ИТ в экономику. В статье также рассматриваются угрозы информационной безопасности, анализируется рост кибератак и использование уязвимостей, что требует усиленных мер защиты и повышения осведомлённости в сфере кибербезопасности.
В статье анализируются различные подходы учёных к пониманию цифровой криминалистики, рассматриваются основные методы этой науки и её роль в борьбе с высокотехнологичной преступностью.
Пользовательский интерфейс является составным элементом взаимодействия с различными информационными системами. Он позволяет эффективно применять весь функционал систем. Примеры успешных интерфейсов показывают, как правильно разработанный дизайн влияет на взаимодействие пользователя с системой. В статье определяются такие основные этапы разработки, как «исследование и анализ», «определение структуры и визуального оформления» и прочие. Таким образом, пользовательский интерфейс оказывает влияние на качество и адаптивность информационных систем.
В статье повествуется о влиянии информационно-коммуникационных технологий на сферу образования РФ. Подобное влияние можно охарактеризовать как с положительной, так и с отрицательной стороны. Кроме того, рассматриваются проблемы, с которыми сталкиваются образовательные учреждения в процессе использования информационных технологий. Авторы статьи приходят к выводу, что процесс цифровизации образования коренным образом влияет на его современное состояние.
Искусственный интеллект играет значимую роль во всех сферах жизни общества, в том числе и в финансовой области, обеспечивая более точное и прозрачное проведение транзакций. В статье подробно рассматриваются принципы применения искусственного интеллекта в оценке кредитного риска для финансовых учреждений. Авторы указывают ряд методик, лежащих в основе действия компьютерных программ, которые применяются для повышения надёжности и эффективности кредитного скоринга. В статье представлены преимущества и трудности, с которыми сталкивается искусственный интеллект, а также приводятся аспекты применения машинных технологий в области финансов.
Цифровизация управления оборотным капиталом подразумевает внедрение информационных технологий и автоматизированных систем для оптимизации финансовых процессов, связанных с денежными средствами, дебиторской задолженностью, запасами и другими элементами оборотных активов. Внедрение различных современных информационных технологий в процесс управления оборотным капиталом позволяет оптимизировать финансовые процессы, улучшить прогнозирование и повысить прозрачность управления.
Статья посвящена определению роли инновационного лизинга в модернизации российской экономики. Рассматриваются различные виды лизинга, включая венчурный лизинг, лизинг интеллектуальной собственности, а также лизинг как средство поддержания инновационной деятельности. Указывается, что лизинг становится значимым инструментом финансирования обновления производственных фондов в условиях санкций, что способствует сохранению и повышению конкурентоспособности предприятий в условиях кризисной ситуации.
Цифровизация системы государственного управления включает в себя множество элементов, в том числе построение удобных и востребованных каналов взаимодействия органов власти и населения. Одним из таких элементов является предоставление государственных и муниципальных услуг в электронном формате. При этом исследование научной литературы показывает, что одним из ключевых вопросов является готовность граждан (особенно отдельных категорий) к использованию цифровых технологий. В связи с этим в данной работе рассмотрены вопросы предоставления населению России государственных и муниципальных услуг в электронном виде. Особое внимание уделено уровню удовлетворённости граждан данным форматом взаимодействия. Также рассмотрены проблемы, вызывающие затруднения при использовании или отказе от цифрового взаимодействия в пользу традиционного канала прямого личного общения с органами власти. В ходе исследования проведён сравнительный анализ отдельных показателей использования электронных государственных и муниципальных услуг в динамике за 2017-2021 годы в целом по России, а также в отдельных её регионах. Кроме того, по ряду показателей осуществлено сравнение в России и в европейских странах. Данная методология позволила более детально описать и оценить развитие электронных государственных и муниципальных услуг в Российской Федерации и на её отдельных территориях. Полученные результаты позволили сделать вывод о том, что электронный формат взаимодействия населения и органов государственной власти в Российской Федерации становится всё более актуальным.
В работе анализируются методические разработки, используемые при обучении студентов направления 49.03.01 «Физическая культура» по дисциплине «Гигиенические основы физкультурно-спортивной деятельности» [2]. Показана роль электронных образовательных ресурсов при формировании профессиональных компетенций будущих учителей физической культуры. С развитием информационных и коммуникационных технологий человечество ощутило достаточно серьёзные изменения во всех сферах жизни и образование не стало исключением [5]. Процесс цифровизации повлиял на общемировые тенденции развития общества, отразился в профессиональных стандартах специалистов и в новых образовательных стандартах. Сегодня преподаватель обучает студентов работать с информацией: анализировать, синтезировать, определять её достоверность. Следовательно, процесс профессионального обучения должен происходить с использованием электронных образовательных ресурсов.
В статье рассматривается влияние ключевых цифровых технологий на конкурентоспособность современного бизнеса. Анализируются преимущества автоматизации процессов, использования больших данных, интернета вещей, искусственного интеллекта, блокчейна и облачных решений. Приводятся примеры успешного внедрения этих технологий в компаниях различных отраслей и результаты, которых им удалось достичь. Подчёркивается необходимость разработки комплексной стратегии цифровой трансформации для максимизации эффекта от инвестиций в технологии.
Статья анализирует причины возникновения «инфоцыганства», специфику данной схемы, а также способы защиты от мошенников в интернете.
Статья посвящена исследованию важности цифровых компетенций в условиях глобальной цифровизации образовательной среды. В ней рассматриваются ключевые аспекты реализации федерального проекта «Цифровая образовательная среда» и акцентируется внимание на необходимости освоения современных технологий преподавателями. Также выделяются отличия в цифровых компетенциях педагогов общего образования и высшей школы. Автор подчёркивает, что развитие цифровых навыков является необходимым условием для повышения качества и доступности образования, а также для успешной подготовки студентов к вызовам цифрового мира.
Поскольку цифровые процессы проникли сейчас во всевозможные направления экономических отношений, то одним из ведущих мировых трендов развития современных организаций в соответствии с запросами потребителей является цифровизация бизнеса. Развитие информационных технологий и цифровых платформ способствует ускорению процессов в организации, автоматизации рутинных задач и оптимизации бизнес-процессов. Это позволяет предпринимателям повысить эффективность работы и предлагать новые услуги и продукты, соответствующие потребностям современных потребителей. Использование цифровых технологий для оптимизации бизнес-процессов на микроэкономическом уровне является актуальной темой, требующей детального изучения и отдельного рассмотрения.
Беспилотные летательные аппараты (далее - БПЛА) используются в различных сферах жизнедеятельности для повышения эффективности выполнения операций различного характера. Несмотря на активное применение БПЛА в военных целях, одной из самых распространённых и перспективных сфер их применения остаётся сельское хозяйство. Проблемы контроля за крупными хозяйствами являются достаточно актуальными для внедрения дронов, однако эффективность их применения является поводом для обсуждений среди экспертов.
В статье рассматриваются потенциальные перспективы внедрения цифрового рубля в социальную сферу. Такая концепция, как «цифровой рубль», является очень актуальным и обсуждаемым феноменом в наше время, поэтому многие выявляют потенциальные последствия использования нового вида рубля. Социальные выплаты выступают важным компонентом государственной поддержки населения. Расчёты цифровыми рублями, по идее его создателей, должны превзойти ранее известные виды расчётов, что даёт надежду на улучшение финансовых операций во многих сферах, в том числе и в социальной. Для реализации идеи выплат цифровыми рублями пенсий и пособий необходимо выявить как положительные, так и отрицательные аспекты таких действий и впоследствии прийти к выводу, стоит ли реализовывать данную концепцию или нет.
Статья посвящена вопросам исследования ответственности в сфере потребительского права. На данный момент до конца ещё не проанализированы все виды правонарушений потребительских правоотношений, что делает данную проблему актуальной. При использовании таких методов исследования, как обобщение, классификация, конкретизация, был проведён анализ видов ответственности, предусмотренных за совершение правонарушений в потребительском праве. Работа выявляет наиболее часто проявляющиеся виды правонарушений в потребительских правоотношениях, а также сопоставляет их с наказанием за данный вид нарушения. В результате исследования были рассмотрены различные виды наказания за совершение административных, уголовных и иных видов правонарушений.
В статье рассматриваются общенаучные принципы, используемые при организации учебного процесса будущих педагогов в рамках профессиональной подготовки к формированию финансовой грамотности младших школьников. Анализируются теоретические основы организации учебного процесса, направленного на развитие у будущих педагогов необходимых знаний, умений и компетенций в области финансовой грамотности.
В работе исследуются актуальные вопросы науки трудового права, а также проводится сравнительный анализ трудовых кодексов РФ и Армении. Был осуществлён сравнительно-правовой анализ нормативных актов данных стран, представлена общая характеристика трудовой системы данных стран.
Современные тенденции развития интернет-пространства, увеличение количества пользователей гаджетами привели к тому, что реклама перешла из пространства телевидения, радиовещания и печатных изданий в мир социальных сетей. Ежедневно среднестатистический пользователь интернета проводит в социальных сетях всё больше и больше времени, создавая для предпринимателей разных уровней привлекательную площадку для рекламирования своих товаров и услуг. Для производителей данная ниша, несмотря на возникающие проблемы, является перспективной средой роста и развития.
Статья посвящена актуальной проблеме домашнего насилия и преступлениям, совершённым женщинами на его почве, а также особенностям наказания за их совершение. Авторы статьи проанализировали специфические факторы, усугубляющие ситуацию женщин, ставших преступницами в условиях длительного насилия, а также рассмотрели механизмы справедливого правосудия с учётом их конкретных обстоятельств.
В статье исследуется взаимосвязь между уровнем самораскрытия и тревожностью студентов первого курса различных направлений подготовки. Результаты показывают, что уровень самораскрытия существенно влияет на уровень тревожности, что подчёркивает важность социальной поддержки и открытого общения в адаптации первокурсников к учебной среде.
В статье рассматриваются основные вызовы, с которыми сталкиваются Young people today, такие как технологические трансформации, изменения на рынке труда и глобальные социальные процессы. Автор анализирует вопросы адаптации молодёжи к этим изменениям, внедряя новые подходы к обучению и развитию, а также активно используя цифровые инструменты. Акцентируется внимание на значении интеграции образовательных программ с реальными практическими навыками и знаниями, которые необходимы в условиях быстро меняющегося мира. Уделяется внимание возможностям, которые открываются для молодых людей в рамках современных образовательных инициатив, таких как дистанционное обучение и проекты по междисциплинарному сотрудничеству. В качестве вывода отмечается необходимость пересмотра традиционных образовательных систем и адаптации их к требованиям времени, подчёркивается важность вовлечения молодёжи в процесс принятия решений относительно будущего образования. Это позволит создать более гибкую и актуальную образовательную среду, способствующую личностному и профессиональному развитию.
В статье рассматривается актуальная тема будущего молодёжи с акцентом на модели государственной поддержки, которые должны соответствовать принципам антропоцентризма. Основное внимание уделяется тому, как современные государственные стратегии могут обеспечить молодое поколение необходимыми ресурсами для успешной социальной, экономической и культурной адаптации в условиях глобальных изменений. Автор анализирует различные подходы к государственной поддержке, включая образовательные программы, инициативы в сфере занятости, доступ к психоэмоциональной поддержке и культурному обогащению. Рассматривается влияние антропоцентрических факторов на формирование политики, учитывающей интересы молодёжи, и подчёркивается важность создания инклюзивной среды, способствующей развитию личных и социальных навыков у подрастающего поколения.
Целью данной статьи является раскрытие понятия «расторжение брака» как меры по урегулированию конфликта интересов; рассматривается история понятия; причины, его порождающие; характеристики и последствия.
Работа посвящена исследованию правового воздействия на социально-экономические процессы в условиях трансформации общества. Современные социально-экономические трансформации, обусловленные глобализацией и цифровизацией, требуют адаптации правового регулирования. Возникают новые правовые институты и механизмы, связанные с регулированием инновационной экономики, интеллектуальной собственности, виртуальных отношений и т. д. Изучение тенденций развития права в контексте социально-экономических изменений имеет важное научное и практическое значение.
Статья посвящена анализу практики защиты персональных данных в судебной системе Российской Федерации. Автор поднимает конкретные проблемы, касающиеся персональных данных, которые рассматриваются в судебном порядке, освещает результаты их решения. Особое внимание уделяется возможности оспаривать конституционность норм законов, касающихся защиты персональных данных, непосредственно в Конституционном суде РФ.
В статье рассматривается договор о передаче имущества в собственность (рента), являющийся сложной правовой процедурой, которая может вызывать ряд проблем в практической реализации. Основные сложности связаны с недостаточным пониманием сущности договора ренты гражданами, что приводит к ошибкам и заблуждениям. В частности, это касается разграничения различных видов рентных договоров и знания их особенностей. Для успешного применения договоров ренты необходимо более глубокое осмысление их особенностей, возможных рисков, а также тщательное юридическое оформление всех условий сделки.
Статистика статьи
Статистика просмотров за 2025 год.
Издательство
- Издательство
- РАНХиГС
- Регион
- Россия, Москва
- Почтовый адрес
- 119571, город Москва, пр-кт Вернадского, д. 82 стр. 1
- Юр. адрес
- 119571, город Москва, пр-кт Вернадского, д. 82 стр. 1
- ФИО
- Комиссаров Алексей Геннадиевич (РЕКТОР)
- Контактный телефон
- +7 (499) 9569832